Cálculo de la pendiente



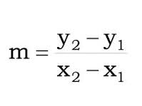
Ya vimos que si tenemos la ecuación de una recta podemos identificar fácilmente el valor de la pendiente, pero si no disponemos de la ecuación de una recta podemos calcularla mediante una sencilla fórmula:


Tenemos Resultado de imagen para pendiente de una recta

Resultado de imagen para pendiente de una recta





APLIQUEMOS LO APRENDIDO



Comentarios